Merhaba arkadaşlar bu yazımızda size benzinli motorlar ve dizel motorlar, benzinli ve dizel motorlar modelleri ve benzinli motorların çalışma prensipleri hakkında bilgi vereceğim. Bir benzinli motorda her bir çevrimde altı işlem meydana gelir; bunların beş tanesi Şekil 1’de gösterilmiştir. Bu tartışmamızda sistemimiz, pistonun üstünde kalan silindirin iç kısmıdır ve burada, motorun çalışması sırasında tekrarlanan çevrim oluşur. Verilen bir çevrimde piston, iki kez yukarıya ve aşağıya hareket eder. Bu iki aşağı ve iki de yukarı vuruş içeren bir dört vuruşlu çevrimi temsil eder. Çevrimdeki bu işlemler, PV diyagramı Şekil 2’de gösterilen bir Otto çevrimine yaklaştırılabilir:
Şekil 1 Standart bir benzin motorunun dört zamanlı çevrimi, (a) Emme zamanında hava ve yakıt karıştırılır, (b) Emme vanası kapanır ve karışım pistonla sıkıştırılır, (c) Karışım bir buji ile ateşlenir ve daha yüksek sıcaklığa çıkar, (d) Güç verme zamanında gaz pistonu iterek genişler. (e) Son olarak artık gaz (egzoz gazı) dışarı atılır ve çevrim tekrarlanır.
1.O→A emme zamanında (Şekil 1a), piston aşağı hareket eder ve hava ile yakıttan oluşan gaz karışımı atmosfer basıncında silindir içine çekilir, Bu işlemde hacim V2’den V1’e yükselir. Bu, yakıtta depolanan iç enerjinin sisteme (silindir içine) girmesi nedeni ile çevrimin enerji giriş kısmım oluşturur. Bu, enerjinin kütle transferi ile aktarımıdır, yani enerji bir maddede taşınmaktadır. Bu, tartıştığımız konveksiyona benzer.
- A→B sıkıştırma zamanında (Şekil 1b) piston yukarı hareket eder, hava yakıt karışımı V1, hacminden V2 hacmine adyabatik olarak sıkıştırılır ve sıcaklık TA’dan TB’ye yükselir. Gazın yaptığı iş negatiftir ve değeri Şekil 2’deki AB eğrisinin altındaki alana eşittir.
- A→B işleminde buji ateşleme yaptığında yanma oluşur (Şekil 1c). Bu, piston en yüksek konumda iken çok kısa bir sürede oluştuğundan, çevrimin bir parçası değildir. Yanma, yakıttaki kimyasal bağlarda depolanan iç enerjinin sıcaklığa bağlı moleküler hareketin içe enerjisine hızlı bir dönüşümü temsil eder. Bu zaman süresince silindir içindeki basınç ve sıcaklık hızla artar, sıcaklık TB ’den Tc ’ye yükselir. Fakat zaman aralığı kısa olduğundan hacim hemen hemen sabit kalır. Sonuç olarak gaz hemen hemen hiçbir iş yapmaz. Bu işlemi, Qh ısı enerjisinin sisteme girdiği bir PV diyagramı ile modelleyebiliriz (Şekil 2). Fakat, gerçekte bu işlem bir transferden çok, (O→A işlemi sebebiyle) silindirde bulunan enerjinin dönüşmesi işlemidir.
4.Güç verme zamanında (Şekil 1d) gaz adyabatik olarak V2’den V1’e genleşir. Bu genleşme, sıcakılğırı TC’den TD‘ye düşmesine sebep olur. Pistonu aşağı iterek iş yapar ve bu işin değeri CD eğrisi altında kalan alana eşittir.
5.(Şekil 1’de gösterilmeyen) D→A işleminde, bir çıkış (egzoz) vanası, piston, yolunun en alt kısmına ulaştığında açılır ve basınç bu kısa zaman aralığında aniden düşer. Bu zaman aralığında piston hemen hemen durgundur ve hacim yaklaşık olarak sabit bir değerdedir. Enerji silindirin içinden dışarıya atılır ve bir sonraki işlem sırasında atılmaya devam eder.
6.Son işlemdeki A→O egzoz zamanında (Şekil 1e) çıkış vanası açık kalmaya devam ederken piston yukarı doğru hareket eder. Kalan gazlar atmosfer basıncında dışarı atılır ve hacim V1 ’den V2 ’ye düşer. Çevrim böylece tekrarlanır.
Hava-yakıt karışımı ideal gaz olarak kabul edilirse, Otto çevriminin verimi,
olur. Burada γ yakıt-hava karışımı için molar ısı sığalarının Cp/Cv oranı ve Vl/V2 ise sıkışma oranıdır. Türettiğimiz eşitlik 22.5, verimin sıkışma oranı arttıkça artacağını gösterir. Tipik sıkışma oranı 8 ve γ = 1,4 için, ideal bir Otto çevirimine göre çalışan bir makinanın beklenen teorik verimi %56 dır. Bu, gerçek motorlarda ulaşılan verimden (%15’den %20’ye) çok büyüktür. Bunun nedeni sürtünme, silindir duvarlarından ısı kaçakları ve tam yanmamış hava-yakıt karışımıdır.
Dizel motorlar Otto çevrimine benzer bir çevrimde çalışır, fakat ateşleyici buji kullanılmaz. Bir dizel motorunun sıkışma oranı benzinli motora göre oldukça yüksektir. Silindirdeki hava çok küçük bir hacme sıkıştırılır ve bunun sonucunda silindirir sıcaklığı oldukça yüksektir. Bu noktada yakıt silindire püskürtülür sıcaklık, yakıt-hava karışımını bujiye ihtiyaç duymadan ateşleyecek kadar yüksektir. Dizel motorları, benzinli motorlara göre yüksek sıkışma oranları ve bundan doğan yüksek sıkışma sıcaklıkları nedeni ile daha verimlidir.
Benzinli ve Dizel Motorlar Modelleri
Bu ve önceki bölümlerde tartışılan termodinamik ilkelerini, benzinli ve dizel motorların performansını modellemede kullanabiliriz. Her iki motor cinsinde, gaz, ilk olarak motorun silindirinde sıkıştırılır, sonra yakıt-hava karışımı ateşlenir. Gaz üzerinde iş, sıkışma sırasında yapılır, fakat daha büyük bir iş, yanma sırasında silindir genleşeceğinden piston üzerinde yapılır. Motorun gücü pistondan krank miline bir kolla aktarılır.
Her iki motorun iki önemli niceliği, piston silindirin dibinden tepesine hareket ettikçe yer değiştirdiği hacim olan yer değiştirme hacmi ve silindirin maksimum ve minimum hacimlerinin oranı olan r sıkıştırma oranıdır. Bizim gösterimimizde r =VA/VB veya V1/V2 ’dir. Bir çok benzinli ve dizel motor, emme ve atma (egzoz) zamanlarında yapılan net iş ihmal edilebilecek kadar küçük olduğundan bir dört-zamanlı işlemle (emme, sıkıştırma, güç sağlama, atma) çalışırlar. Böylece güç, krank milinin iki devrinden sadece birinde üretilir.
Bir dizel motorunda, sıkıştırma başlangıcında silindir içinde (yakıt olmaksızın) sadece hava bulunur. Şekil 3’teki ideal dizel çevriminde, silindirdeki hava A ’dan B ’ye bir adyabatik sıkışmaya uğrar. B noktasında yakıt silindir o şekilde püskürtülür ki, yakıt karışımı sabit basınçta bir ara VC(B→C) hacmine genleşir. Karışımın yüksek sıcaklığı yanmaya sebep olur ve güç zamanı VD = VA (C→D) ’ye doğru bir adyabatik genleşme olur. Çıkış supabı açılır ve silindir boşaldıkça bir sabit hacimli enerji çıkışı (D→A)meydana gelir. Hesaplamalarımızı basitleştirmek için silindir içindeki karışımın hava dolu bir ideal gaz olduğunu varsayalım. C molar özgül ısısı yerine c özgül ısısını kullanacak ve bunun 300K ’de hava için sabit değerde olduğunu varsayacağız. Özgül ısı ve evrensel gaz sabitini mol yerine birim kütleler cinsinden ifade edeceğiz. Böylece, CV = 0,718kJ/kg.K, CP = l,005kJ/kg.K, γ=CP/CV=1,40 ve R= CP – CV = 0,287kJ/kg.K = 0,287kPa.m3/kg.K değerlerini elde ederiz.
3 L’lik Benzinli Motor
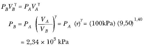
3 L’lik bir yer değiştirme hacmine sahip 4000 rpm (devir/dk) da çalışan ve r = 9,50 ’lik bir sıkıştırma oranına sahip 6 silindirli benzinli bir motorun ürettiği gücü hesaplayalım. Hava-yakıt karışımı silindire atmosfer basıncında girer ve ortamın sıcaklığı 27°C ’dir. Patlama (yanma) sırasında karışımın sıcaklığı 1350°C ’a ulaşmaktadır.
Önce her bir silindirin yaptığı işi hesaplayalım. Başlangıç basıncını PA = l00kPa ve sıcaklığı TA = 300K alarak başlangıç hacmini ve hava-yakıt karışımının kütlesini hesaplayabiliriz. İlk ve son hacimlerinin oranının sıkıştırma oranı olduğunu biliyoruz:
VA/VB = r = 9,50
Ayrıca, hacim farkının yer değiştirme hacmi olduğunu da biliyoruz. 3 L ’lik bir motor hacmi, altı silindirin hepsinin kullandığı hacimdir. O halde silindir için
olur. Bu iki eşitliği birlikte çözerek ilk ve son hacimleri buluruz:
VA= 0,559 x 10-3 m3 VB = 0,588 x 10-4 m3
ideal gaz kanununu (mol yerine kütle cinsinden evrensel gaz sabitini kullandığınızdan Pv= mRT formunda) kullanırsak, hava-yakıt karışımının kütlesini bulabiliriz:
A→B işlemi bir adyabatik sıkıştırmadır ve bu PVγ = sabit anlamına gelir; buradan
bulunur. İdeal gaz kanunu kullanılırsa sıkıştırma sonunda sıcaklık,
olur.
B→C işleminde yanma, kimyasal bağlardaki iç enerjiyi, sabit hacimde yani Vc = VB de moleküler hareketin iç enerjisine dönüştürür. Patlama, sıcaklığın Tc = 1350°C = 1623K ’e yükselmesine sebep olur. Bu değeri ve ideal gaz kanununu kullanarak Pc ’yi hesaplayabiliriz:
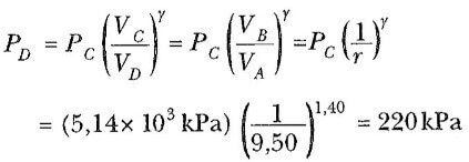
C→D işlemi bir adyabatik genleşmedir; genleşme sonrası basınç,
olur. Yine ideal gaz kanununu kullanarak son sıcaklığı bulabiliriz:
Şimdi, her bir çevrimin ilk ve son sıcaklıklarını biliyoruz. Artık, herbir silindir tarafından her iki çevrimde yapılan net iş ve net enerji transferini hesaplayabiliriz. Eşitlik 21.8’den
Qh = Qgiriş = mcv(TC – TB)
= (6,49 x 10-4kg) (0,718 kJ/kg.K) (1623K- 739K) = 0,412 kj
QC = Qçıkış = mcv(TD – TA)
= (6,49 x 10″4 kg) (0,718 kJ/kg.K) (660K – 300K) = 0,168 kj
Wnet= Qgiriş – Qçıkış = 0,244 kj
bulunur. Eşitlik den verim e= Wnet/Qgiriş = %59 olarak bulunur (Eşitlik 22.5 ’den verimi doğrudan sıkışma oranından da hesaplayabilirdik).
Gücün, krank milinin iki dönüşümünde dağıtıldığını hatırlarsak, 4000dev/dak hızla çalışan altı silindirli motorun net gücü
Pnet = 6(1/2dev) (4000 dev/dak) (1 dak/60s) (0,244 kj)
= 49 kW = 66 hp (B.G)
olur.
2L’lik Dizel Motoru
2,00L yerdeğiştirme hacmi olan ve 3000dev/dk ’da çalışan bir dört silindirli dizel motorun ürettiği gücü hesaplayalım. Sıkıştırma oranı r = VA/VB = 22 ve Şekil 22.13 ’teki B→C sabit-hacimli işlem sırasında hacim değişimi oram olan kesme oranı rc= VC/VB = 2 ’dır. Hava her silindire atmosfer basıncı ve 27°C ’lik ortam sıcaklığında sıkıştırma çevriminin başında girmektedir.
Dizel motoru modelimiz, benzinli motorunkine benzer; şu farkla: dizelde yakıt B noktasında püskürtülür ve A→B sıkıştırma çevriminin sonunda sıcaklık, tutuşma derecesine ulaştığında karışım kendi kendine ateşlenir. Burada enerji girişinin B→C sabit-basınç işleminde oluştuğunu ve genleşme işleminin C ’den D ’ye ısı yoluyla başka bir enerji transferi olmaksızın devam ettiğini varsayıyoruz.
İlk hacmi VA = (2 x 10-3m3)/4 = 0,500 x 10-3m3 olan her bir silindirin yaptığı işi hesaplayalım. Sıkıştırma oram oldukça yüksek olduğundan, maksimum silindir hacmi yaklaşık yer değiştirme hacmi kadar olsun. İlk basınç Pv = 1000 kPa ve ilk sıcaklık TA = 300 K olursa, ideal gaz kanununu kullanarak silindirdeki havanın kütlesini hesaplayabiliriz:
A→B işlemi bir adyabatik sıkıştırmadır, böylece PVγ = sabittir. Buradan,
PBVBγ = PAVAγ
PB = PA (VA/VB)γ = (100kPa) (22)1,10 =7,57×10 3 kPa
olur. İdeal gaz kanununu kullanarak sıkıştırmadan sonra havanın sıcaklığını
olarak buluruz.
B→C işlemi bir sabit basınçlı genleşmedir; o halde Pc = PB olur. 2 ’lik kesme oranından, hacmin bu işlemde iki katma çıktığını biliriz. İdeal gaz kanununa göre bir izobarik işlemdeki hacmin iki katma çıkması, sıcaklığın da iki katma çıkması anlamına gelir. Dolayısı ile
TC=2TB= 2,06 x 103K
olur. C→D işlemi bir adyabatik genleşmedir. Buna göre
elde edilir. İdeal gaz kanunundan D ’deki sıcaklığı bulabiliriz:
Şimdi herbir işlemin ilk ve son sıcaklıklarım bildiğimizden her iki çevrimde herbir silindir tarafından yapılan net işi ve ısı yolu ile yapılan net enerji transferini hesaplayabiliriz.
Qh = Qgiriş = mcp(TC – TB) = 0,601 kj
QC = Qçıkış = mcv(TD – TA) = 0,205 kj
Wnet= Qgiriş – Qçıkış = 0,396 kj
Verim e= Wnet/Qgiriş = %66 ’dır.
3000dev/dk ’da çalışan dört silindirli bir motorun net gücü,
Pnet = 4(1/2dev) (3000 dev/dak) (1 dak/60s) (0,396 kj)
= 39,6 kW = 53 (B.G) hp
dir. Tabii ki modern motor tasarımları, idealleştirilmiş çevrimleri kullanan bizim termodinamik uygulamanın ötesindedir.
Benzinli motorlar ve dizel motorlar ile ilgili yararlı bir video.
