İçten Yanmalı Motorlarda Verim Kavramı

Günlük hayatın büyük bir parçası olan otomobiller benzin motoruyla çalışan en verimsiz makineler olarak bilinir. İdeal şartlarda bile kullanılabilir enerjinin %15 inden daha azı aracın hareketine kullanılır. Şehir içindeyse durum daha vahimdir, dur kalk sebebiyle kayıp enerji miktarı artar. Otomobilin yakıt tüketimini incelemek için enerji, güç ve sürtünme kuvveti kavramlarını inceleyeceğiz.

Tipik bir otomobilde enerji kaybına sebep olan birçok etken vardır. Yakılan yakıttan elde edilen enerjinin %67’si motorda kaybolur. Kaybolan bu enerjinin bir kısmı egzoz sistemiyle, bir kısmı da soğutma sistemiyle atmosfere atılır. (egzoz ve soğutma sistemindeki büyük kayıplar termodinamiğin temel kanuna göre gereklidir). Şaft, dingil, tekerlekler gibi sürtünmeli parçalarda ise kullanılabilir enerjinin %10 u kaybolur. Bunun gibi diğer etmenleri de saydığımız zaman (direksiyon, fren, klima, elektrik tertibatı vs.) enerjinin sadece %13 ü gibi bir rakam harekete geçirme ve harekette kalma enerjisi için kullanılıyor demektir. Bu enerji de büyük ölçüde tekerleklerin esnemesinden ve daha yaygın şekilde hava direnci olarak atfedilen havanın sebep olduğu sürtünme kuvvetinden dolayı kaybolur.

Bu iki sürtünme kuvvetini bileşkesini dengeleyen ve ileri yönde bir kuvvet sağlayan gerekli gücü inceleyelim. Tekerlekle yol arasındaki sürtünme katsayısı μ≅0,016 civarındadır. 1450 kg lık bir araç için ağırlık 14200 N ve sürtünme kuvveti μ.n= μmg=227 N olur. Arabanın hızı artarken araba üzerindeki hava akışının basıncı azaltması sonucu, dik (normal) kuvvette küçük bir azalma olur. Yani hız arttıkça yol ile tekerlek arsındaki sürtünme kuvvetinde ufak bir azalma olur.

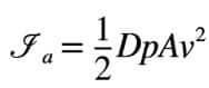
Şimdi hava sürtünmesinin etkisini, yani arabanın çeşitli yüzeylerinden geçen havanın neden olduğu direnci göz önüne alalım. Büyük cisimler için hava sürtünmesi ile ilgili direnç kuvveti, hızın (m/s cinsinden) karesiyle orantılıdır ve

hava sürtünmesi ile ilgili direnç kuvveti Olarak yazılabilir. Burada D direnç katsayısı, A hareketli cismin kesit alanı , p havanın yoğunluğudur.

TİPİK BİR OTOMOBİL İÇİN SÜRTÜNME KUVVETLERİ VE GEREKLİ GÜÇLER
v (m/s) n (N) Fr (N) Fa (N) Fı (N) P=Fı.v (kW)
0 14200 227 0 227 0
8,9 14100 226 51 277 2,5
17,8 13900 222 204 426 7,6
26,8 13600 218 465 683 18,3
35,9 13200 211 830 1041 37,3
44,8 12600 202 1293 1495 67
*Bu taploda N dik (normal) kuvvet Fr yol sürtünmesi, Fa hava sürtünmesi Fı toplam sürtünme ve P tekerlere verilen güçtür.

Fa değerini hesaplamak için D=0,50; p=1,293 kg/m3 ve A=2m2 değerleri kullanılmıştır.

Tabloya bakarak şunu anlayabiliriz; Yol sürtünmesi, teker esnekliği azaltılarak (hava basıncını önerilen değerin biraz üzerine çıkararak) ve radyal lastikler kullanılarak azaltabiliriz. Hava direnci ise daha küçük kesit alanına sahip araba kullanarak ve hava akışına uygun bir araba ile azaltılabilir. Camları açık bir arabayı sürmek, aynı yakıtla katedilecek yolda %3 lük bir azalmaya sebep olur sebebi ise hava direncinin artmasıdır. Oysa camları kapalı fakat klimanın açık olması, katedilecek yolda %12 lik bir azalmaya sebep olur.

Sabit bir v hızını korumak için gereken toplam güç Fı v çarpımına eşittir. Bu tekerlere aktarılan güce eşit olmalıdır. Örnek tabloda v=26,8 m/s de gerekli gücün 18,3 kW olduğu gözükmekte.

Yazımı örnek olabilecek bir soru ve çözümü ile bitiriyorum

ÖRNEK1.1

Bir araba 800 kg lık bir kütleye sahiptir ve verimliği %18 dir. (kullanılabilir enerjinin %18 ini tekerleklere aktarıyor.) bir galon benzin enerji değeri olan 1,3 x 108 J değerini kullanınız. a-) araba durgun halden 27 m/s hıza ivmelendirmek için harcanan benzin miktarını bulunuz. b-) 60 mi/saat hızla seyrederken 35 mil/ga oranında benzin tükettiğini farz ederek tekerlere ne kadar güç aktarıldığını bulunuz.

ÇÖZÜM:

a-) arabayı durgun halden v hızına ivmelendirmek için gereken enerji arabanın son kinetik enerjisidir.

kinetik enerji Motor %100 verimli olsaydı, benzin her bir galonu 1,3 x 108J lük bir enerji sağlayacaktı. Motor sadece %18 lik verime sahip olduğu için her bir galon benzin (0,18) (1,3 x 108 J)=2,3 x 107 J enerji verir. Böylece arabayı ivmelendirmek için kullanılan galon sayısı;

galon sayısı Olur. Seyir halindeki hızda, bu miktardaki benzin arabayı yaklaşık olarak 0,5 mil götürmeye yeter. Bu, aşarı durup kalkmaların ne kadar çok enerji gerektirdiğini açıklar.

b-) kolayca birimleri sadeleştirerek arabanın, (60mi/saat)/(35 mi/gal)=1,7 gal/saat yakıt tükettiğini belirleriz. Her bir galon, 1,3 x 108 J e eş değer olduğuna göre kullanılan toplam güç;

güç formülü Olarak bulunur. Kullanılabilir enerjinin %18 i arabayı yürütmek için kullanıldığına göre tekerleklere verilen güç (0,18) (62kW) = 11 kW olur. Burada 1450 kg büyüklükteki araba için bir hesap yapılırsa 18,3 kW değerinde bir sonuç çıkacaktır. 800 kg için bulunan değerden çok daha büyük olduğu da görülecektir. Kısaca güç kaybı mekanizmaları arasında araç kütlesi açıkça önemli bir faktördür.

Önceki İçerik
Sonraki İçerik

1 Yorum

guest
1 Yorum
Inline Feedbacks
Tüm yorumları göster
Arıcılık Malzemeleri

Yeni Yazılar

Mühendislik Maaşları

Bunları Gördünüz mü?