Siklotron, yüklü parçacıkları çok yüksek süratlara kadar hızlandırabilen bir makinedir. Elektrik ve manyetik kuvvetlerin her ikisi de bir anahtar rolü oynar. Siklotrondan çıkan yüksek enerjili parçacıklar, atomik çekirdekleri bombalamak ve böylece araştırmacıların gereksinim duyduğu çekirdek tepkimelerini oluşturmak için kullanılırlar. Birçok hastane, teşhis ve tedavide kullanılabilen radyoaktif maddeleri oluşturmak amacıyla, siklotron olanaklarını kullanmaktadır.
Bir siklotronun şematik çizimi aşağıdaki şekil’de görülmektedir. Yükler D ler (diler) denen iki yarım çember şeklindeki D1 ve D2 kaplarının içinde hareket ederler. D’lere yüksek frekanslı bir değişken (alternatif) gerilim uygulanır ve bir elektro mıknatısın sağladığı düzgün bir manyetik alan D’lere dik olarak yönlendirilir. Mıknatısın merkezine yakın yerdeki P’de serbest bırakılan pozitif bir iyon yarım çember şeklindeki bir yörüngede dolanır (şekildeki kesikli kırmızı çizgi) ve T/2 zaman sonra aralığa geri ulaşır. Burada T, iki D etrafında bir kere tur atmak için gereken zamandır. Uygulanan V geriliminin frekansı, iyonların bir yarım dolanımı için geçen zaman içerisinde D’lerin kutuplanışı tersine dönecek şekilde ayarlanır.
Uygulanan gerilim D2, D1 den ΔV kadar daha düşük bir potansiyelde olacak biçimde ayarlanırsa, iyon, aralığı geçerken D2 ye doğru hızlanır ve kinetik enerjisi qΔV kadar artar. Bu nedenle iyon, daha sonra D2 içerisinde daha büyük yarıçaplı bir yarım çember üzerinde hareketine devam eder. T/2 zaman sonra, yine aralığa ulaşır. Bu zamana kadar, D’lerin arasındaki gerilimin yönü yine değişir (bu yüzden şimdi D1 negatif olur) ve aralığı geçerken iyona bir başka itme verilir; hareket, her yarım döngüde iyon qΔV’ye eşit bir ek kinetik enerji kazanacak biçimde devam eder. Yüksek enerjili iyonlar, yörüngelerinin yarıçapı hemen hemen D’lerin yarıçapına ulaştığında, sistemi çıkış yarığından terk ederler. Siklotronun çalışma ilkesinin, T’nin, iyonun süratından ve çembersel yörüngenin yarıçapından bağımsız oluşuna dayandığına dikkat etmek gerekir.

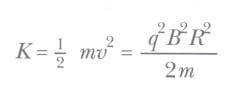
İyonun siklotrondan çıktığı zamanki kinetik enerjisini, D’lerin R yarıçapı cinsinden elde edebiliriz. Böylece, kinetik enerji aşağıdaki gibi olur.

İyonların enerjisi yaklaşık 20 MeV’u geçtiği zaman, göreceli etkiler devreye girer. Bu nedenle T artar ve dolanan iyonlar uygulanan gerilimle aynı fazlı kalmazlar. Dolanan iyonlarla aynı fazlı kalacak şekilde uygulanan gerilimin periyodunu değiştirmek suretiyle bu problemi ortadan kaldıran hızlandırıcılar yapılabilmektedir.
