Düzgün Olmayan Dairesel Hareket Konu Anlatımı

parçacığa etkiyen kuvvet
Şekil 1

Merhaba arkadaşlar bu yazımızda sizlere düzgün olmayan dairesel hareket konusunu anlatacağız, bunun yanı sıra sizlere konuyu daha iyi kavramanız için düzgün olmayan dairesel hareket ile ilgili örnekler çözeceğiz. Dairesel bir yörüngede süratini değişerek hareket eden parçacı­ğın, merkezcil ivmesinin yanında, dv/dt büyüklüğünde bir teğetsel ivmesinin de olduğunu bulmuştuk. Böylece parçacığa etki eden kuvvetin hem merkezcil hem teğetsel bileşeni olmalıdır. Yani, toplam ivme a = ar + at olduğundan,  parçacığa etki eden toplam kuvvet F = Fr + Ft ile verilir ve Şekil 1 de göste­rildiği gibidir.

Bu kuvvetin Ft vektör bileşeni, dairenin merkezine yönelmiştir ve merkezcil ivmenin meydana gelişinden sorumludur. Kuvvetin Ft vektör bi­leşeni yörüngeye teğettir ve teğetsel ivmenin meydana gelişinden sorumludur ve parçacığın hızının zamanla değişmesine sebep olur. Aşağıdaki örnek bu tip hareketi açıkça anlatmaktadır.

Şekil 1 de Parçacığa etkiyen kuvvetin yörüngeye teğet bileşeni, ∑Ft hızın büyüklüğünü değiştirir. Bu durumda, parçacığa uygulanan toplam kuvvet, teğet doğrultusundaki ve yarıçap doğrultusundaki kuvvetlerin vektörel toplamıdır, yani ∑F =∑Ft + ∑Fr

Düzgün Olmayan Dairesel Hareket Örneği

m kütleli küçük bir küre Şekil 2a da görüldüğü gibi, R uzunluğunda bir ipin ucuna bağlanarak düşey düzlemde bir O noktası etrafında dairesel yörüngede döndürülüyor. Cismin hızının v olduğu ve ipin düşeyle θ açısı yaptığı bir anda, ipteki gerilmeyi hesaplayınız.

newton'un ikinci hareket kanunu
Şekil 2 (a,b)

Çözüm: Öncelikle hızın düzgün olmadığına dikkat etmeliyiz. Ağırlığın teğet bileşeni, teğetsel ivmeyi oluştur­muştur. Şekil 2b deki serbest cisim çizeneğinden de gö­rüldüğü gibi, cisme uygulanan kuvvetler Fg = mg ağırlığı ve ipteki T gerilmesidir. mg nin teğetsel bileşeni mgsinθ  ve yarıçap doğrultusundaki bileşeni mgcosθ dır. Newton’un 2. hareket yasası

∑Ft= mgsinθ = mat

at = gsinθ

bulunur. İvmenin bu bileşeni v hızının zamanla değiştiği­ni ifade eder. Çünkü at = dv/ dt dir.

Newton’un ikinci yasasını yarıçap doğrultusunda uygu­larız. T ve ar nin yarıçap doğrultusunda olduğuna dikkat ederek

newtonun hareket kanunları

bulunur.

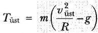
Özel Durumlar Yörüngenin en üst noktasında θ = 180° dir. cos 180° = -1 olduğundan üst nokta için Tüst elde edi­lir

düzgün olmayan dairesel hareket

Bu değer, T gerilmesinin minimum değeridir. Tam bu noktada at teğetsel ivme mevcut olmaz, at = 0 olur. Sadece ar yarıçap doğrultusundaki ivme mevcut olur. Bu ivmenin yönü aşağı doğrudur.

Yörüngenin en alt noktasında  θ =0° dir, ve cosθ = 1 dir. Buradan Talt bulunur:

 

düzgün olmayan dairesel hareket konu anlatımı olur. Bu değer de T gerilmesinin maksimum değeridir. Tekrar bu noktada at = 0 dır. Sadece yarıçap doğrultusun­da yukarı yönlü ivme mevcuttur.

Bu yazımızda sizlere düzgün olmayan dairesel hareket konusunu anlattık. Bu yazımız şle bağıntılı olan newtonun hareket konunlarına göz atmayı unutmayınız.

Taner Hayret
Taner Hayret
Merhaba ben Taner Hayret, bir süre Türkiye de Elektrik ve Elektronik Mühendisliği üzerine eğitim aldıktan sonra, hayat serüvenime yurt dışında Nükleer Enerji Mühendisliği üzerine devam ettirmeye karar verdim. Burada sizlerle bilim adına tecrübelerimi paylaşacağım.

2 Yorum

guest
2 Yorum
Inline Feedbacks
Tüm yorumları göster
Arıcılık Malzemeleri

Yeni Yazılar

Mühendislik Maaşları

Bunları Gördünüz mü?