Michelson Morley Deneyi

Merhaba arkadaşlar size bu yazımızda michelson morley deneyi ve michelson morley deneyinin ayrıntılarını anlatacağım. Işık hızındaki küçük değişimleri algılamak için tasarlanan en meşhur deney ilk olarak 1881 de Albert A. Michelson tarafından yapıldı ve sonradan değişik koşullar altında Michelson ve Edward W. Morley (1838-1923) tarafından tekrarlandı. Öncelikle deney sonucunun ether hipotezi ile çeliştiğini belirtelim.

michelson interferometresi

Deney dünyanın hipotetik ethere göre hızını tayin etmek için tasarlanmış­tı. Kullanılan deneysel araç yandaki görselde gösterilen Michelson interferometresiydi. Kol 2 Dünyanın uzay içindeki hareketi doğrultusuna yönelmişti. Dünyanın v hızıyla ether içinde hareket etmesi, etheri Dünya çevresinde v hızı ile zıt yönde akmasına eşdeğerdir. Dünyanın hareketi yönüne zıt yönde esen bu ether rüzgarı, Dünya referans sisteminde ölçülen ışık hızının, c ether sistemine göre ışık hızı olmak üzere, ışık M2 aynasına yaklaşırken c-v, aynadan yansıdıktan sonra c+v olmasını sağlamalıdır.

M1 ve M2 aynalarından yansıyan iki ışık demeti bir araya gelirler ve karanlık ve parlak saçaklardan oluşan girişim deseni ortaya çıkar. İnterferometre 900 derece döndürülürken bu girişim deseni izlenmiştir. İnterferometrenin dönmesi girişim deseninin az ama ölçülebilir miktarda kaymasına neden olmalıdır, ancak ölçümler girişim deseninde hiçbir kayma olmadığım göstermiştir! Michelson-Morley deneyi, Ether rüzgarının doğrultu ve şiddet değiştirmesinin beklendiği yılın değişik zamanlarında tekrarlanmış, fakat sonuç hep aynı olmuştur: beklenilen büyüklükte bir desen kayması hiçbir zaman gözlenmemiştir.

Michelson-Morley deneyinin negatif sonucu yalnızca ether hipotezi ile çelişmez, bunun yanı sıra dünyanın ether referans sistemine göre mutlak hızını ölçmenin de olanaksız olduğunu gösterir. Ancak, bir sonraki kesimde göreceğimiz gibi, Einstein bu negatif sonucu oldukça farklı bir şekilde yorumlayarak özel görelilik teorisinin pastülatlarından biri haline getirdi. Işığın doğası hakkında daha fazla bilgi edinilen ileriki yıllarda tüm uzayı kaplayan ether fikri yıpranmış kavramlar çöplüğüne atıldı. Şimdi ışığın yayılmak için hiçbir ortama ge­rek duymayan bir elektromanyetik dalga olduğu anlaşılmaktadır. Sonuç olarak elektromanyetik dalgaların içinde yayıldığı ether fikri gereksiz olmaktadır.

Michelson Morley Deneyinin Ayrıntıları

Michelson—Morley deneyinin sonuçlarını anlamak için görsel deki interferometrenin iki kolunun aynı L uzunluğunda olduklarını varsayalım. Michelson ve Morley bu deneyle ether rüzgarını bulmayı amaçladıkları için, biz de durumu ether rüzgarı varmış gibi analiz edeceğiz. Yukarıda belirtildiği gibi, ışık demetinin 2 numaralı kol boyunca hızı demet M2 aynasına yaklaşırken c – v ve aynadan yansıdıktan sonra c + v olmalıdır. Böylece ışığın sağa doğru gitme süresi L/(c+v) olacaktır. 2 numaralı kol boyunca bir gidip gelme için toplam süre olur.

michelson morley deneyi

Şimdi ether rüzgarına dik duran 1 numaralı kol boyunca yol alan ışığı ele alalım. Bu durumda ışık demetinin dünyaya göre hızı (c2 v2)1/2 olacağından (Şek. 39.3 e bakınız), yolculuğun her bir yarısı için gerekli süre L/(c2-v2)1/2ve bir gidip gelme için toplam süre,

michelson morley deneyi

olacaktır. Böylece yatay gidip gelme (kol2) ve düşey gidip gelme (kol1) arasındaki zaman farkı

michelson morley deneyi

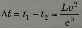
gibidir.v2/c2<<1 olduğundan bu ifade, binom açılımında birinci mertebeden daha yüksek terimler ihmal edilerek basitleştirilebilir:

michelson morley deneyi

Yukarıdaki ifadede x=x2/c2 olduğundan

michelson morley deneyi

buluruz.

Aynalardan yansıyarak görüş teleskobuna varan ışık demetlerinin varış anları arasındaki bu zaman farkı, iki demet teleskopta birleştiğinde bir girişim deseni yaratacak faz farkına neden olur. İnterferometre 90° döndürüldüğünde iki demetin rolleri değişir ve sonuçta girişim deseninde bir kayma gözlenebilmelidir. İnterferometrenin 90° döndürülmesi, yukarıdaki eşitsizlikler ile verilen zaman farkının iki katının oluşmasına neden olur. Böylece bu zaman farkına karşı gelen yol farkı

michelson morley deneyi

kadardır. Bir dalga boyu kadar yol farkı, girişim deseninde bir saçaklık kaymaya karşı geldiğinden, oluşacak saçak kayması, bu yol farkının ışığın dalga boyuna bölümüne eşittir:

michelson morley deneyi

Michelson ve Morley’in deneylerinde her bir ışık demeti, etkin yol uzunluğu L yaklaşık 11 m olacak şekilde, aynalarla birçok defa yansıtılıyorlardı. Bu değeri kullanarak ve Dünyanın güneş çevresindeki hızı v yi 3,0x 104 m/s ala­rak yol farkını

michelson morley deneyi

olarak buluruz. Bu fazladan kat edilen yol, girişim deseninde dikkate çarpacak bir kayma oluşturmalıdır. Özellikle, dalga boyu 500 nm olan ışık kullanarak, 90° dönme sonucunda

michelson morley deneyi

kadar bir kayma oluşmasını bekleyebiliriz. Michelson ve Morley in kullandığı araç 0.01 saçaklık kaymaları bile ayırt edecek güçteydi. Ancak, saçak deseninde hiçbir kayma gözlenmemiştir. O zamandan beri, deney farklı bilim adamları tarafından, çok değişik koşullar altında, pek çok defa tekrarlanmış ve hiçbir zaman saçak kaymaları gözlenmemiştir. Böylece dünyanın, postüle edilen ethere göre hareketinin algılanamayacağı sonucuna varılmıştır.

Michelson Morley deneyinin negatif sonuçlarını açıklamak ve ether refe­rans sistemi kavramı ve ışık için Galileo hız dönüşüm eşitliğini kurtarmak için pek çok gayret sarf edilmiştir. Bu çalışmalardan kaynaklanan bütün öngörüle­rin yanlış oldukları görülmüştür. Fizik tarihinde hiçbir deney, Michelson Morley deneyi gibi, beklenen sonucun ortaya çıkmayışını açıklamak için yapılan bütün çalışmalara karşı kahramanca direnmemiştir. Bu noktada sah­neye problemi 1905 de özel görelilik kuramı içinde çözen Einstein çıkmıştır.

Michelson Morley Deneyi Video

Öznur Bal
Öznur Bal
Mühendis olma yolunda...

1 Yorum

guest
1 Yorum
Inline Feedbacks
Tüm yorumları göster
Arıcılık Malzemeleri

Yeni Yazılar

Mühendislik Maaşları

Bunları Gördünüz mü?