Çift Flaşlı Santral Enerji Dönüşüm Sistemi

Merhabalar bu yazımda çift flaşlı santral enerji dönüşüm sistemleri hakkında bir takım bilgiler vereceğim. Bir önceki yazımda genel olarak çift flaş buharlı jeotermal enerji santralleri hakkında bilgi vermiştim. Çift flaşlamalı santrallerin tasarımı, tek flaş santralden farklıdır; bir F flaşörü ve seperatörden geçen yüksek basınçlı buhara ek olarak türbinden geçen bir alçak basınçlı buhar hattı da eklenmiştir.

enerji-donusum-sistemi

Aşağıda gösterilen türbin, çift girişlidir; tek akışlı makinedeki alçak basınçlı buhar,  uygun bir bölümde kısmen genişletilmiş yüksek basınçlı buhar ile düzgünce birleşecek şekilde buhar hattına gelir.

cift-girisli-turbin

Çift flaş santrallerde, iki ayrı türbin kullanılabilir; bir yüksek bir de alçak basınçlı buhar türbini. Bu durumda, türbinler ya ortak bir kondensere Şekil.A ya da farklı vakum seviyelerinde çalışan iki ayrı kondensere Şekil.B boşaltım yapabilirler.

yuksek-basincli-buhar-turbini

Enerji Dönüşüm İşleminin Termodinamiği

Sıcaklık Entropi Diagramı

Çift girişli türbine sahip çift flaş santraller için sıcaklık – entropi işlem diagramı

sicaklik-entropi-diagrami

Flaş ve ayrıştırma işlemi

Sıcaklık entropi diagramı referans alınarak iki flaş işlemi de, 1-2 ve 3-6, 2 fazlı karışımdan, x, kalitesi ile gösterilen, belirli miktarda buhar üretir. Her flaşı, bir ayrıştırma işlemi izler.

flas-ve-ayristirma-islemi

Yüksek ve alçak basınçlı buhar kısımları için buhar ve tuzlu su kütle akış oranları aşağıdaki gibidir.

tuzlu-su-kutle-akis-oranlari

Not : Kütle akışı, iki aşamalı türbin genleşmesinden elde edilen gücün hesaplanması için kullanılacaktır.

Yüksek ve alçak basınçlı türbin genleşmesi işlemleri

Eğer iki tekli türbin işletilseydi, her biri için yapılan analizler, tek flaş santraldeki türbin için kullanılan yönteme çok yakın olarak seyredecekti. Çift girişli bir türbinin kullanıldığında ise türbinin basınç aşamalarını, tek flaş türbin için kullanılan metodolojiye bağlı olarak analiz edilebiliriz.

yuksek-ve-alcak-basincli-turbin-genlesmesi

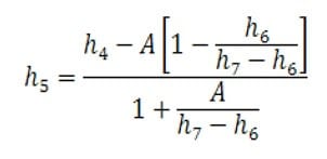
Türbinin yüksek basınç bölümünden elde edilen gerçek çıkış durumu

Baumann kuralı kullanılarak elde edilmelidir

baumann-kurali

Burada A faktörü, A = 0.425(h4-h5s).

Şekil 8 referans olarak alındığında, genleşmiş buhar kısmen bölüm 5’tedir, alçak basınçlı buhar ise bölüm 8’dedir (doymuş buhar), birbiri ile karışan buhar ise alçak basınçlı buhar türbinine giriş yapmaya hazır bir şekilde bölüm 9’dadır.

Termodinamiğin birinci yasası ve kütlenin korunumu, aşağıdaki karışma durumunun özelliklerini bulmamızı sağlar:

termodinamigin-birinci-yasasi

Alçak basınçlı türbin, aşağıdaki şekilde analiz edilebilir.

alcak-basincli-turbin

turbin-gucu

Yoğuşturma ve soğutma kulesi işlemleri

Tek flaşlı santraller için yapılan analizler, burada da kullanılabilir; kütle akış oranı da yüksek ve alçak basınçlı buhar akışlarının toplamına göre değişebilir.

yogusturma-ve-sogutma-kulesi-islemleri

Çift flaş santral için optimizasyon işlemleri, tek flaş bir santralden daha karmaşıktır, bunun nedeni de işletme parametrelerinin seçimindeki ekstra serbestlik dereceleridir.

Seperatör basıncı (veya sıcaklığı) ile ilgili herhangi bir seçimde, olası flaşör basıncları (veya sıcaklıkları) ilgili bir aralık olacaktır ve bu da en yüksek güç çıkışını verecektir. Seperatör basınçların spektrumuna bakıldığında, en iyi çıkışı veren flaş basınçları elde edilir. Bu sonuçlara bakıldığında en iyi tek bir optimum nokta görülür.

seperator

 

P2 seperatör basıncıdır,
T6/T2 ise flaş sıcaklığının
seperatör sıcaklığına olan oranıdır.

 

 

 

Üst taraftaki eğride bulunan her nokta için de (a), flaş basıncı P6’dan gelen bir eğride duran (ince çizgi ile gösterilmiştir) en iyi güç çıkışı W (b) noktası elde edilecektir. Büyük eğri de, değerlerin pratik aralıklarını değiştirmek için P2’ye olanak tanıyan bu gibi “en iyi” noktaların konumunu belirtmektedir. (d) noktası, En iyilerin içinde de en iyidir ve hem seperatör hem de flaş koşulları için optimum santral seçimlerini tanımlar. (c) noktası, seperatör ve flaşör için en uygun sıcaklık oranını verir.

Bir sonraki yazımda çift flaş optimizasyon örneği vereceğim.

1 Yorum

guest
1 Yorum
Inline Feedbacks
Tüm yorumları göster
Arıcılık Malzemeleri

Yeni Yazılar

Mühendislik Maaşları

Bunları Gördünüz mü?